martes, 31 de marzo de 2020
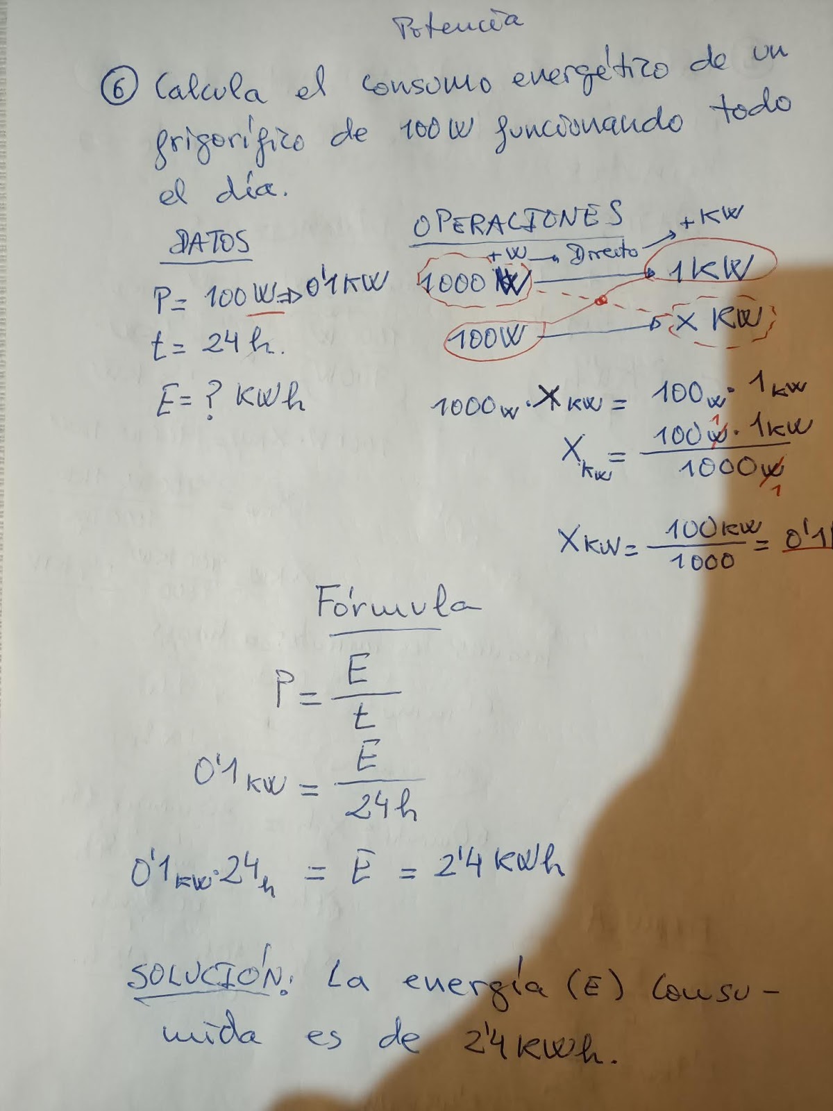
PROBLEMA DE POTENCIA 4
Si tenemos funcionando durante 4 horas una lavadora de 1200 W de potencia. ¿Cuánta energía ha consumido en ese tiempo? Exprésala en KWh.
PROBLEMA DE ENERGÍA MECÁNICA 3
¿Con qué velocidad debemos lanzar un objeto de 1 Kg de masa hacia arriba para que alcance una altura máxima de 50 m?
PROBLEMA DE ENERGÍA MECÁNICA 2
Lanzamos una pelota hacia arriba con una velocidad de 20 m/s. La masa de la pelota es de 100 gramos.
a )¿Cuál es su energía cinética en el momento inicial? ¿Y su energía potencial?
b) Cuando alcanza su altura máxima, ¿cuál es su energía cinética?, ¿y su energía potencial?
c) ¿Cuál es la altura máxima que alcanza la pelota?
a )¿Cuál es su energía cinética en el momento inicial? ¿Y su energía potencial?
b) Cuando alcanza su altura máxima, ¿cuál es su energía cinética?, ¿y su energía potencial?
c) ¿Cuál es la altura máxima que alcanza la pelota?
lunes, 30 de marzo de 2020
PROBLEMA DE ENERGÍA MECÁNICA 1
La masa conjunta de un ciclista y su bicicleta es de 70 Kg. Se encuentra detenido en una cuesta a 140 m de altura.
a) ¿Qué energía potencial tiene el ciclista cuando está parado en lo alto de la cuesta?
b) ¿Cuál será la energía cinética en ese momento?
c) Ahora, el ciclista se deja caer. ¿Qué energía potencial y cinética tendrá cuando vaya por la mitad de la cuesta?
d) ¿Qué energía cinética tendrá cuando llegue al final de la cuesta?
e) ¿Con qué velocidad llegará al final de la cuesta?
a) ¿Qué energía potencial tiene el ciclista cuando está parado en lo alto de la cuesta?
b) ¿Cuál será la energía cinética en ese momento?
c) Ahora, el ciclista se deja caer. ¿Qué energía potencial y cinética tendrá cuando vaya por la mitad de la cuesta?
d) ¿Qué energía cinética tendrá cuando llegue al final de la cuesta?
e) ¿Con qué velocidad llegará al final de la cuesta?
jueves, 26 de marzo de 2020
PROBLEMA DE CÁLCULO DE CONTENIDO ENERGÉTICO EN JULIOS 3
En el etiquetado de un producto alimenticio podemos leer que su contenido energético es de 607.115 julios por cada 100 gramos de producto. ¿Qué contenido energético en Julios hay en una porción de 25 gramos?
PROBLEMA DE CALCULO DE CALORÍAS A JULIOS 2
En el etiquetado de un producto alimenticio podemos leer que su contenido energético es de 145 Kcal por cada 100 gramos de producto. ¿Qué contenido energético en Julios hay en 100 gramos del producto?
PROBLEMA DE CÁLCULO DE CALORÍAS 1
En el etiquetado de un producto alimenticio podemos leer que su contenido es de 145 Kcal por cada 100 gramos de producto. ¿Cuántas calorías hay en esos 100 gramos?
miércoles, 25 de marzo de 2020
PROBLEMA DE ENERGÍA CINÉTICA 3
Un coche se mueve con una velocidad de 3 m/s, y tiene una energía cinética de 90 julios. ¿Cuál es la masa del coche?
martes, 24 de marzo de 2020
PROBLEMA DE ENERGÍA POTENCIAL 6
Queremos que una piedra de 50 hg de masa adquiera una energía potencial de 490 J. ¿Cuántos metros de altura la debemos elevar?
PROBLEMA DE ENERGÍA POTENCIAL 5
Una maceta de 4 kg de masa tiene una energía potencial de 392 J. ¿A qué altura del suelo está situada?
PROBLEMA DE ENERGÍA POTENCIAL 4
Una manzana cuelga de la rama de un manzano situada a 4 metros del suelo. La energía potencial que posee es de 7,84 J. ¿Cuál es la masa de la manzana?
PROBLEMA DE ENERGÍA POTENCIAL 2
Suscribirse a:
Comentarios (Atom)


























